E1420 Acetylated Starch (Tinh bột axetyl hóa) là tinh bột được biến tính bằng phương pháp axetyl hóa, giúp cải thiện độ ổn định cấu trúc, hạn chế thoái hóa và rỉ nước trong quá trình gia nhiệt, bảo quản và đông lạnh/rã đông. Sản phẩm cho độ sánh ổn định, độ trong cao và khả năng giữ ẩm tốt.
Tinh bột biến tính E1420 phù hợp ứng dụng trong mì – bún – phở, sản phẩm đông lạnh, nước sốt, súp, thực phẩm chế biến và các sản phẩm yêu cầu kết cấu mềm dẻo, ổn định và hiệu quả sử dụng cao.
E1420 – Acetylated Starch là tinh bột biến tính đơn nổi bật nhờ khả năng ổn định cấu trúc, chống tách nước và cải thiện cảm quan sản phẩm trong nhiều quy trình chế biến thực phẩm, đặc biệt là các sản phẩm đông lạnh, mì ăn liền, bánh nướng và nước sốt. Bài viết này của Hùng Duy Starch sẽ giúp bạn hiểu rõ E1420 là gì, cấu trúc hóa học, đặc tính nổi bật, các ứng dụng thực tế và lý do doanh nghiệp tin chọn tinh bột acetyl hóa như giải pháp công nghệ ổn định – an toàn – hiệu quả.
E1420 (Acetylated Starch) là tinh bột tự nhiên (từ ngô, khoai tây, sắn…) được biến tính đơn bằng phản ứng este hóa. Trong quá trình này, các tác nhân như anhydrit axetic hoặc vinyl acetat sẽ gắn nhóm acetyl (-COCH₃) vào các nhóm hydroxyl (-OH) trên phân tử polysaccharide, giúp tinh bột hạn chế tách nước, giữ độ sánh và duy trì cấu trúc khi gặp nhiệt cao, khuấy trộn mạnh hoặc xử lý cơ học.
Theo hệ thống phân loại quốc tế, E1420 là cách gọi của tinh bột biến tính Acetylated Starch theo Quy chuẩn phụ gia thực phẩm của Liên minh Châu Âu (EU). Theo hệ thống Codex Alimentarius của FAO/WHO, hợp chất này được định danh là INS 1420. Tinh bột biến tính E1420 còn được biết đến với tên gọi khác là Starch acetate (Tinh bột acetat).

>>> XEM THÊM: Vì sao tinh bột biến tính cần thiết trong sản xuất hiện đại?
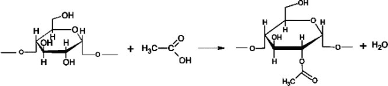
Về bản chất, E1420 là tinh bột được este hóa tại các nhóm hydroxyl (-OH) tự do trên đơn vị glucose. Trong quá trình này, tinh bột phản ứng với anhydrit axetic hoặc vinyl axetat để tạo ra các nhóm acetyl (-O-COCH₃), gắn chủ yếu tại vị trí C-2, C-3 và C-6 của vòng glucose.
Quá trình este hóa giúp tinh bột biến tính Acetylated Starch tạo hồ tinh bột sánh mịn, ổn định, ít tách nước và giữ được độ đồng nhất ngay cả khi gặp nhiệt cao, khuấy trộn mạnh hoặc xử lý cơ học trong sản xuất. Toàn bộ quy trình này được kiểm soát theo nguyên tắc GMP, đảm bảo mức acetyl hóa phù hợp để đạt hiệu quả công nghệ mong muốn mà vẫn an toàn và ổn định trong sản phẩm cuối.

E1420 có các đặc tính nổi bật giúp tinh bột ổn định hơn trong quá trình chế biến và bảo quản so với tinh bột tự nhiên:
Lưu ý, mặc dù rất tốt cho việc bảo quản lạnh, E1420 lại là tinh bột biến tính đơn, có độ bền nhiệt và cơ học kém vì cấu trúc hạt đã bị “nới lỏng” bởi các nhóm acetyl mà không có “gia cố” (như liên kết ngang). Khi nấu ở nhiệt độ cao hoặc khuấy trộn mạnh, hạt tinh bột dễ bị phá vỡ, làm giảm độ nhớt và kém ổn định. Vì vậy, trong thực tế sản xuất, E1420 thường được kết hợp với các dạng tinh bột biến tính khác (như E1414 hoặc E1422) để tạo ra tinh bột biến tính kép có độ bền tốt hơn.
Tinh bột biến tính E1420 (acetylated starch) được ứng dụng rộng rãi trong nhiều nhóm thực phẩm và ngành công nghiệp như sau:

Với hơn nửa thế kỷ phát triển trong ngành tinh bột mì, Hùng Duy Starch là doanh nghiệp tiên phong tại Việt Nam làm chủ công nghệ sản xuất tinh bột mì biến tính – trong đó có E1420 Acetylated Starch. Năng lực sản xuất – R&D chuyên sâu kết hợp kinh nghiệm thương mại quốc tế giúp Hùng Duy cung ứng ổn định các dòng tinh bột đáp ứng yêu cầu kỹ thuật cao cho ngành thực phẩm và công nghiệp hiện đại.
Thế mạnh nổi bật của Hùng Duy Starch:

Nếu doanh nghiệp của bạn đang tìm nguồn cung tinh bột biến tính tiêu chuẩn quốc tế – ổn định, minh bạch và đồng hành dài hạn, đội ngũ kỹ thuật của Hùng Duy Starch luôn sẵn sàng hỗ trợ. Liên hệ để được tư vấn sản phẩm phù hợp nhất cho quy trình và ứng dụng của bạn.